近日,国产做爱视频
高振勋教授研究团队在高超声速边界层气动力/热CFD模拟方法方面取得重要研究进展。研究成果发表在流体力学国际权威期刊Journal of Fluid Mechanics,本文的第一作者为国产做爱视频
2021级博士生莫凡,通讯作者为高振勋教授,研究受到了国家自然科学基金和中央高校基本科研业务费的支持。

高超声速边界层壁面摩阻和热流的快速准确预测是高超声速飞行器设计中的关键问题,而边界层内速度和温度在近壁区沿法向的剧烈变化给摩阻和热流的准确模拟带来很大困难。克服这一困难的有效途径是应用壁函数模型,现有的壁函数均是针对湍流边界层构造的。然而,当高超声速飞行器在40km以上高空飞行时,飞行器表面大部分区域的边界层为层流状态,而对于高超声速层流边界层国内外均未发展出有效的壁函数方法。
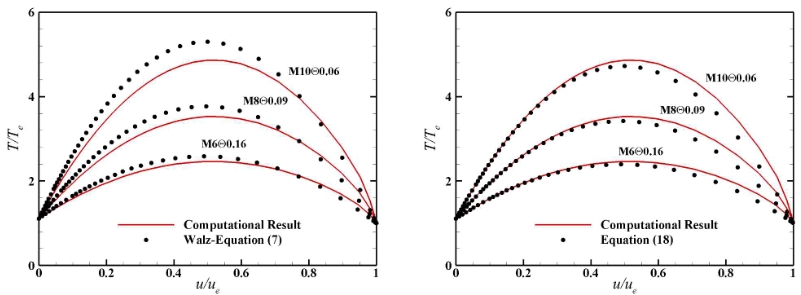
针对以上问题,研究团队首先在传统的Walz速度-温度关系式中引入了层流广义恢复因子rg,以综合考虑非单位普朗特数及壁面冷却等效应,并发现广义恢复因子rg在层流边界层法向维持不变,进而推导出相应的速度-温度关系式,其与精确结果的对比如下图所示。

图1 理论-速度-温度关系精确结果与理论对比:传统公式(左);本文公式(右)
之后,在可压缩层流平板边界层流动方程理论分析基础上,验证了近壁区“等应力层”的存在,并以此为理论基础提出了高超声速层流边界层近壁速度壁面律,实现了对不同可压缩效应、不同壁面冷却效应下高超声速层流边界层近壁速度的统一标度。
最后,提出了一种避免使用边界层外缘量的巧妙设计而成功发展出可应用于实际复杂外形的高超声速层流边界层壁函数模型。应用该壁函数模型的数值实验表明,其可将壁面第一层网格的密度由10-6m放宽至10-3m。由此可带来数值模拟效率的提升达到近50倍。

图2 壁函数方法在稀网格下对数值模拟精度的提升效果:摩擦系数(左);热流密度(右)

图3 壁函数方法对于数值模拟效率的提升效果