近期,国产做爱视频
的杨振宇副教授团队在纤维增强复合材料拉伸强度预测模型方面取得了重要进展。这一研究成果已在国际复合材料领域顶刊《Composites Science and Technology》(IF:9.1)上发表。文章的第一作者是2019级博士生钱逸星,通讯作者为杨振宇副教授和交通学院的胡大勇副教授,卢子兴教授对该研究给予了重要指导。该项研究得到了国家自然科学基金面上项目的资助。

图1 论文国产做爱视频
纵向拉伸破坏是纤维增强复合材料最关键的失效模式,然而基于现有的强度理论精确预测复合材料的失效强度和损伤演化仍然面临较大挑战。一方面,现有主流复合材料强度准则多采用纤维的确定性强度(比如平均强度)作为失效判断的重要参量,而忽视了纤维强度分散性以及纤维/基体界面剪切强度的影响;另一方面,纤维束中局部纤维的失效会显著影响邻域内纤维上的载荷分布,从而导致纤维束内部损伤扩展,最终导致纤维束失效,并表现为典型的多尺度损伤,这些物理现象在诸多宏观强度准则中都缺乏刻画。
针对上述问题,研究团队首先对复合材料在拉伸过程中的失效机制进行了深入研究,发现纤维增强复合材料在拉伸断裂时呈现出准分形的特征。其次,研究团队对拉伸失效前复合材料中的断裂纤维进行了统计分析,发现断裂纤维簇的尺寸与数量之间存在幂律关系。这种分形特征和幂律关系是自组织临界性耗散系统的典型特征。因此,研究团队首次将自组织临界性理论引入复合材料的拉伸失效分析中,认为不同尺度下复合材料的拉伸失效行为存在相关性,即具有尺度不变性。据此,团队采用重整化群方法建立了复合材料拉伸失效的尺度缩放律,从而能够给出不同尺寸的单向纤维增强复合材料的强度分布。

图2. (a)-(d)六边形排布纤维束的准分形断裂面,(e)和(f)复合材料纤维断裂簇尺寸和数目符合幂律关系
基于重整化群方法建立的强度预测模型具有以下特点:首先,该模型的强度分布是基于六边形分布的纤维束推导而得,与高体积分数复合材料中纤维实际排布的特征相吻合。其次,单根纤维强度随机分布采用了Weibull分布函数进行描述。第三,模型采用了简化的剪滞模型来描述基体剪滞对断裂纤维承载能力的恢复作用。第四,所采用的应力集中系数可基于有限元模型进行标定。此外,该模型还能够提供各尺寸纤维束的强度分布以及在任意应力水平下的纤维断裂簇密度。最后,该模型可以编写为UMAT子程序,用于进行复合材料结构在拉伸强度方面的有限元分析。

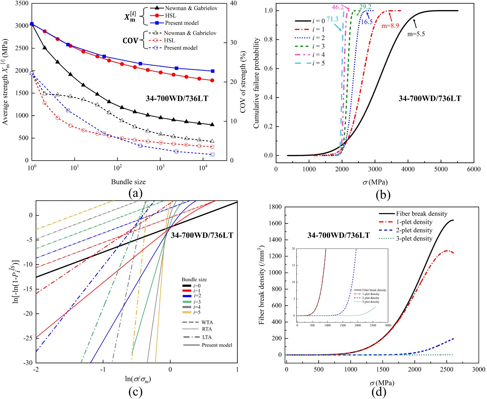
图3 基于重整化群方法的复合材料失效概率尺度缩放定律
基于提出的模型,对34-700WD/736LT和T700SC/SR8500两种复合材料的拉伸强度进行了预测。预测结果显示,各尺寸纤维束的强度分布同样满足Weibull分布特征。随着尺寸的增大,其平均拉伸强度和强度分布的离散性也呈现下降趋势。模型的预测结果与已有的相关研究成果相符,验证了尺度效应的存在。

图4 复合材料拉伸强度分布及尺寸效应预测
研究者还采用国外课题组的系统试验结果验证了此模型的有效性,并与其他经典的强度理论Hashin, Puck 和Linde等进行了对比。结果表明,建立的强度预测模型有效地提高了拉伸强度预测的精度。该模型描述的强度分布与实验结果具有良好的一致性,证明了模型的准确性和可靠性。

图5 复合材料拉伸强度预测精度对比
该研究提出的复合材料拉伸强度预测模型,建立了微观尺度参数(纤维/基体剪切强度、纤维单丝失效强度)与复合材料宏观尺度力学性能之间的关联,真正实现了复合材料损伤失效的多尺度预测。与经典的宏观唯象强度理论相比,该模型能够揭示纤维增强复合材料拉伸失效的物理机制,准确捕捉复合材料强度的分布特性和尺度效应,并且模型所需核心输入参数均能通过实验手段直接获取,为复杂结构复合材料的强度预测奠定了重要的基础。
论文链接://doi.org/10.1016/j.compscitech.2024.110639